LPF -60dB/dec
- Dapat memahami apa itu Low Pass Filter atau LPF
- Dapat memahami pengaplikasian dari LPF -60dB/dec
- Dapat mensimulasikan rangkaian LPF -60dB/dec
a. Operational Amplifier 741
Sebagai penguat dan pengindra sinyal masukkan, baik DC maupun AC. Juga sebagai penguat differensiasi impedansi masukan tinggi, penguat keluaran impedansi rendah.
b. Resistor
c. Kapasitor
Kapasitor merupakan perangkat komponen elektronika yang berfungsi untuk menyimpan muatan listrik dan terdiri dari dua konduktor yang dipisahkan oleh bahan penyekat (dielektrik) pada tiap konduktor atau yang disebut keping.
d. Ground
Sebagai penghantar arus listrik langsung ke bumi atau tanah saat terjadi kebocoran isolasi atau percikan api pada konsleting.
e. Osiloskop
Pada dasarnya osiloskop digunakan untuk mengukur suatu gelombang sinyal. Namun, di samping itu juga osiloskop memiliki fungsi lain, di antaranya:
- Untuk pengukuran sinyal frekuensi yang berosilasi
- Untuk pengecekan sinyal pada rangkaian listrik
- Untuk pembeda arus AC dan D
Filter adalah suatu rangkaian yang dapat melewatkan sinyal input dengan lebar pita frekuensi tertentu (Bandpass) dan melemahkan sinyal input pada lebar pita frekuensi lainnya (Bandstop). Adapun respon ideal filter ACLvs w seperti pada gambar 1.
Gambar 1. Grafik Respon Filter ACL vs w
Low Pass Filter (LPF)
Rangkaian Low Pass Filter (LPF) adalah rangkaian yang dapat melewatkan frekuensi dibawah frekuensi cut-off (Wc). Rangkaian Low Pass Filter ada 3 macam yang masing-masing rangkaian berbeda dalam hal kemiringan responnya seperti gambar 2.
LPF -60 dB/dec
Rangkaian LPF -60dB/dec adalah gabungan rangkaian LPF -40dB/dec dengan diseri LPF -20dB/dec seperti pada gambar 3.
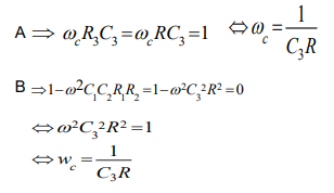
Rumus ACL -nya adalah : Vo1
Untuk :
Maka, saat W = WC sehingga
Gambar 4 menunjukkan hasil simulasi LPF -60dB/dec.
1. Resistor
Resistor atau hambatan adalah salah satu komponen elektronika yang memiliki nilai hambatan tertentu, dimana hambatan ini akan menghambat arus listrik yang mengalir melaluinya. Satuan Resistor adalah Ohm (simbol: Ω) yang merupakan satuan SI untuk resistansi listrik. Dalam sejarah, kata ohm itu diambil dari nama salah seorang fisikawan hebat asal German bernama George Simon Ohm. Beliau juga yang mencetuskan keberadaan hukum ohm yang masih berlaku hingga sekarang.
Rumus dari Rangkaian Seri Resistor : Rtotal = R1 + R2 + R3 + ….. + Rn
Rumus dari Rangkaian paralalResistor : 1/Rtotal = 1/R1 + 1/R2 + 1/R3 + ….. + 1/Rn
Rumus resistor dengan hukum ohm : R = V/I
Rumus dari Rangkaian paralalResistor : 1/Rtotal = 1/R1 + 1/R2 + 1/R3 + ….. + 1/Rn
Rumus resistor dengan hukum ohm : R = V/I
Cara membaca kode warna resistor :
2. Kapasitor
Kapasitor adalah salah satu jenis komponen elektronika pasif yang memiliki fungsi untuk menyimpan arus listrik selama batas waktu tertentu.
Komponen kapasitor ini sering disebut dengan konduktor yang memiliki salah satu sifat yang pasif. Biasanya banyak digunakan dalam membuat rangkaian elektronika dengan kapasitansinya, yakni Farad.
Dibawah ini merupakan macam-macam fungsi yang ada di dalam sebuah kapasitor, antara lain:
- Untuk menyimpan arus dan tegangan listrik sementara waktu.
- Untuk penyaring atau filter di dalam sebuah rangkaian elektronika, misalnya power supply atau adaptor.
- Sebagai penghilang bouncing (percikan api), jika dipasang pada saklar.
- Menjadi kopling antara rangkaian elektronika satu dengan rangkaian elektronika lainnya.
- Untuk menghemat daya listrik jika dipasang pada lampu neon.
- Untuk isolator atau penahan arus listrik untuk arus DC atau searah.
- Menjadi konduktor atau menghantarkan arus listrik untuk arus AC atau bolak-balik.
- Sebagai perata gelombang tegangan DC pada rangkaian pengubah tegangan AC ke DC (adaptor).
- Untuk osilator atau pembangkit gelombang AC (bolak-balik) dan lain-lain.
Rumus Kapasitor :
Q = C.V
Keterangan:
- Q = Muatan dengan satuan Coulomb.
- C = Kapasitas dengan satuan Farad.
- V = Tegangan dengan satuan Volt.
(1 Coulomb = 6,3*1018 Elektron)
3. Op Amp - LM741
Op-Amp adalah salah satu dari bentuk IC Linear yang berfungsi sebagai Penguat Sinyal listrik. Sebuah Op-Amp terdiri dari beberapa Transistor, Dioda, Resistor dan Kapasitor yang terinterkoneksi dan terintegrasi sehingga memungkinkannya untuk menghasilkan Gain (penguatan) yang tinggi pada rentang frekuensi yang luas. Dalam bahasa Indonesia, Op-Amp atau Operational Amplifier sering disebut juga dengan Penguat Operasional.
Karakteristik penguat ideal adalah: Impedansi input sangat besar (Zi >>). Impedansi input adalah sangat besar sehingga arus input ke rangkaian dalam op-amp sangat kecil sehingga tegangan input sepenuhnya dapat dikuatkan.
Konfigurasi PIN LM741:
Spesifikasi:


.jpeg)












Tidak ada komentar:
Posting Komentar